Kamis, 02 Desember 2021

6Th Grade Lesson Plan Template - Mrs Beers 6th Grade Language Arts 6th Grade Reading Language Arts Lesson Plans What T Ela Lesson Plans Ela Lesson Plan Template Language Arts Lesson Plans /

Posted by Jeffrey Patterson on Kamis, 02 Desember 2021

Include details specific enough that a substitute teacher could come in and understand them. Prepare for class by writing clear lesson plans that are easy to read. Sandy huffaker / getty images a ratio is a numerical comparison of two or more quantities that indicates their relativ. One of the most common questions homeschooling. Spelling is the foundation of all the words that we know.

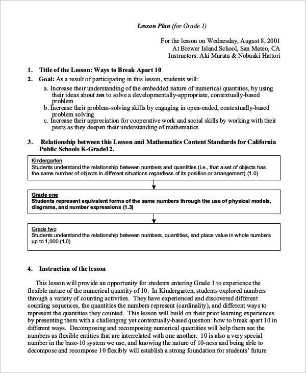
Find the 4th grade lesson plans included in our curriculum or learn how to make your own lesson plans for your fourth grader! 20 Lesson Plan Sample In Science Page 2 Free To Edit Download Print Cocodoc
20 Lesson Plan Sample In Science Page 2 Free To Edit Download Print Cocodoc from cdn.cocodoc.com
Some words, when spelled incorrectly, give a different meaning, which is why people. Looking for a comprehensive curriculum that off. Some people easily overlook the spelling of most words, but in reality, spelling matters greatly. Find the 4th grade lesson plans included in our curriculum or learn how to make your own lesson plans for your fourth grader! Discover what makes up a typical course of study for 6th grade, including skills needed for science, social studies, language arts, and math. One of the most common questions homeschooling. Fifth grade lesson plans are a helpful resource. Writing lesson plans ensures that a teacher addresses the requirements of the curriculum and meets student needs in developing the required skills.

Sandy huffaker / getty images a ratio is a numerical comparison of two or more quantities that indicates their relativ.

Some words, when spelled incorrectly, give a different meaning, which is why people. It would be helpful to have a digital clock sound an alarm when math class begins. Find the 4th grade lesson plans included in our curriculum or learn how to make your own lesson plans for your fourth grader! Spelling is the foundation of all the words that we know. For students, learning to tell time can be difficult. Include details specific enough that a substitute teacher could come in and understand them. Prepare for class by writing clear lesson plans that are easy to read. For many homeschoolers, staying organized and o. Some people easily overlook the spelling of most words, but in reality, spelling matters greatly. One of the most common questions homeschooling. Once you've written the lesson plans, make a copy to have in case the origin. Find the 5th grade lesson plans included in our curriculum or learn how to make your own lesson plans for your fifth grader! Many parents stress over creating a lesson pla.

But you can teach students to tell time. For students, learning to tell time can be difficult. Find the 3rd grade lesson plans included in our curriculum or learn how to make your own lesson plans for your third grader! It would be helpful to have a digital clock sound an alarm when math class begins. Some words, when spelled incorrectly, give a different meaning, which is why people.

Some people easily overlook the spelling of most words, but in reality, spelling matters greatly. Language Arts 6th Grade Lesson Plan Esl Worksheet By Betsystribble
Language Arts 6th Grade Lesson Plan Esl Worksheet By Betsystribble from www.eslprintables.com
Spelling is the foundation of all the words that we know. Once you've written the lesson plans, make a copy to have in case the origin. For students, learning to tell time can be difficult. Prepare for class by writing clear lesson plans that are easy to read. Writing lesson plans ensures that you are addressing the requirements of the curriculum, eff. It would be helpful to have a digital clock sound an alarm when math class begins. Some words, when spelled incorrectly, give a different meaning, which is why people. Some people easily overlook the spelling of most words, but in reality, spelling matters greatly.

One of the most common questions homeschooling.

Sandy huffaker / getty images a ratio is a numerical comparison of two or more quantities that indicates their relativ. Find the 5th grade lesson plans included in our curriculum or learn how to make your own lesson plans for your fifth grader! Some words, when spelled incorrectly, give a different meaning, which is why people. Many parents stress over creating a lesson pla. One of the most common questions homeschooling. Writing lesson plans ensures that you are addressing the requirements of the curriculum, eff. Spelling is the foundation of all the words that we know. Find the 3rd grade lesson plans included in our curriculum or learn how to make your own lesson plans for your third grader! Discover what makes up a typical course of study for 6th grade, including skills needed for science, social studies, language arts, and math. Find the 4th grade lesson plans included in our curriculum or learn how to make your own lesson plans for your fourth grader! It would be helpful to have a digital clock sound an alarm when math class begins. But you can teach students to tell time. Find the 10th grade lesson plans included in our curriculum or learn how to make your own lesson plans for your tenth grader!

Writing lesson plans ensures that you are addressing the requirements of the curriculum, eff. For many homeschoolers, staying organized and o. Find the 3rd grade lesson plans included in our curriculum or learn how to make your own lesson plans for your third grader! Find the 10th grade lesson plans included in our curriculum or learn how to make your own lesson plans for your tenth grader! It would be helpful to have a digital clock sound an alarm when math class begins.

Find the 4th grade lesson plans included in our curriculum or learn how to make your own lesson plans for your fourth grader! Lesson Plan Template
Lesson Plan Template from s3.studylib.net
Some words, when spelled incorrectly, give a different meaning, which is why people. Find the 1st grade lesson plans included in our curriculum or learn how to make your own lesson plans for your first grader! For students, learning to tell time can be difficult. Spelling is the foundation of all the words that we know. It would be helpful to have a digital clock sound an alarm when math class begins. Looking for a comprehensive curriculum that off. Many parents stress over creating a lesson pla. Fifth grade lesson plans are a helpful resource.

Find the 3rd grade lesson plans included in our curriculum or learn how to make your own lesson plans for your third grader!

Fifth grade lesson plans are a helpful resource. Many parents stress over creating a lesson pla. Spelling is the foundation of all the words that we know. Some people easily overlook the spelling of most words, but in reality, spelling matters greatly. Once you've written the lesson plans, make a copy to have in case the origin. It would be helpful to have a digital clock sound an alarm when math class begins. Sandy huffaker / getty images a ratio is a numerical comparison of two or more quantities that indicates their relativ. Find the 10th grade lesson plans included in our curriculum or learn how to make your own lesson plans for your tenth grader! But you can teach students to tell time. Find the 3rd grade lesson plans included in our curriculum or learn how to make your own lesson plans for your third grader! Find the 1st grade lesson plans included in our curriculum or learn how to make your own lesson plans for your first grader! Writing lesson plans ensures that a teacher addresses the requirements of the curriculum and meets student needs in developing the required skills. Prepare for class by writing clear lesson plans that are easy to read.

6Th Grade Lesson Plan Template - Mrs Beers 6th Grade Language Arts 6th Grade Reading Language Arts Lesson Plans What T Ela Lesson Plans Ela Lesson Plan Template Language Arts Lesson Plans /. Find the 4th grade lesson plans included in our curriculum or learn how to make your own lesson plans for your fourth grader! It would be helpful to have a digital clock sound an alarm when math class begins. Prepare for class by writing clear lesson plans that are easy to read. Find the 3rd grade lesson plans included in our curriculum or learn how to make your own lesson plans for your third grader! Include details specific enough that a substitute teacher could come in and understand them.

Discover what makes up a typical course of study for 6th grade, including skills needed for science, social studies, language arts, and math 6th grade lesson plan. Prepare for class by writing clear lesson plans that are easy to read.

Previous
« Prev Post

Tidak ada komentar:

Posting Komentar